尊龙凯时
官网首页
走进尊龙凯时
≡
董事长致辞
集团简介
发展历程
尊龙凯时文化
集团荣誉
集团成员
员工风采
新闻公告
≡
集团动态
集团刊物
产品中心
≡
医药产业
动保产业
科技创新
≡
科研平台
技术协作
科研成果
可持续发展
≡
绿色发展
集团投资
社会责任
≡
慈善公益
安全生产
投资者关系
≡
加入尊龙凯时
≡
人才理念
薪酬福利
招聘信息
联系我们
尊龙凯时供应商门户
English
走进尊龙凯时
董事长致辞
集团简介
发展历程
尊龙凯时文化
集团荣誉
集团成员
员工风采
新闻公告
集团动态
集团刊物
产品中心
医药产业
动保产业
科技创新
科研平台
技术协作
科研成果
可持续发展
绿色发展
集团投资
社会责任
慈善公益
安全生产
加入尊龙凯时
人才理念
薪酬福利
招聘信息
联系我们
EN
当前位置:产品中心
guobang
产品中心
立人立国 兴业兴邦
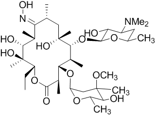
红霉素A(E)肟
中文名称:红霉素A(E)肟
英文名称:erythromycin A oxime
CAS No.:111321-02-9
分子式:C
37
H
68
N
2
O
13
包装规格:根据需求定制
【
返回主目录
】
关联产品
名称
查看详细
硼氢化钠
查看详细
硼氢化钾
查看详细
氢化钠
查看详细
环丙胺
查看详细
N-甲基哌嗪
查看详细
N-乙基哌嗪
查看详细
硼酸三甲酯
查看详细
四氢吡咯
查看详细
二氢高红霉素
查看详细
加米胺
查看详细
环丙羧酸
查看详细
11条记录 第1页
跳转至
页
走进尊龙凯时
董事长致辞
集团简介
发展历程
尊龙凯时文化
集团荣誉
集团成员
员工风采
新闻公告
集团动态
集团刊物
产品中心
医药产业
动保产业
科技创新
科研平台
技术协作
科研成果
可持续发展
绿色发展
集团投资
社会责任
慈善公益
安全生产
投资者关系
加入尊龙凯时
人才理念
薪酬福利
招聘信息
联系我们
联系我们
手机官网
微信关注
尊龙凯时医药集团股份有限公司
版权所有(C)2020 网络支持
著作权声明
浙公网安备 33062402000395
浙ICP备08011652号-2
XML地图