• 尊龙凯时

  • 当前位置:产品中心
    guobang
    产品中心
    立人立国 兴业兴邦
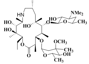
    二氢高红霉素

    中文名称 :二氢高红霉素
    英文名称:Azaerythromycin
    CAS No.:76801-85-9
    分子式:C37H70N2O12
    包装规格:根据需求定制

    二氢高红霉素
    返回主目录
    关联产品
    名称 查看详细
    硼氢化钠 查看详细
    硼氢化钾 查看详细
    氢化钠 查看详细
    环丙胺 查看详细
    N-甲基哌嗪 查看详细
    N-乙基哌嗪 查看详细
    硼酸三甲酯 查看详细
    四氢吡咯 查看详细
    加米胺 查看详细
    红霉素A(E)肟 查看详细
    环丙羧酸 查看详细
    11条记录 第1页
     跳转至
  • XML地图