• 尊龙凯时

  • 当前位置 :产品中心
    guobang
    产品中心
    立人立国 兴业兴邦
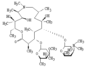
    阿奇霉素

    中文名 :阿奇霉素 
    英文名  :Azithromycin 
    CAS NO :117772-70-0 
    分子式 :C38H72N2O12.2H20
    包装规格 :25kg/桶 10kg/桶 

    阿奇霉素
    返回主目录
    关联产品
    名称 查看详细
    克拉霉素 查看详细
    罗红霉素 查看详细
    2条记录 第1页
     跳转至
  • XML地图